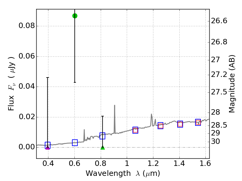
RXS0603+42-N IR detection object #22

Color images and BPZ results
Catalog: 22.cat
Black segments are analyzed here.   Roll mouse over color images to view segments.
Best viewed in a wide browser window (1200 pixels or more).   Download SED & P(z) plots to view larger versions.
In P(z) plots: Yellow lines mark the cluster redshift z = 0.228,  

Object #22   x,y = (3395, 3293)   RA, Dec = (06:03:09.312, 42:16:35.40) = (90.78880, 42.27650)   BPZ = 0.810 [0.217--5.412]   type = 7.00 (Scd_B10)   stellarity = 0.03   chisq2 = 3.76   ODDS = 0.07   z_cluster = 0.228