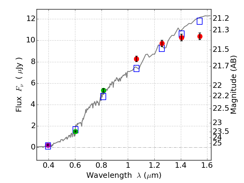
RXS0603+42-N IR detection object #176

Color images and BPZ results
Catalog: 176.cat
Black segments are analyzed here.   Roll mouse over color images to view segments.
Best viewed in a wide browser window (1200 pixels or more).   Download SED & P(z) plots to view larger versions.
In P(z) plots: Yellow lines mark the cluster redshift z = 0.228,  

Object #176   x,y = (2050, 2822)   RA, Dec = (06:03:16.584, 42:16:06.96) = (90.81910, 42.26860)   BPZ = 0.515 [0.476--0.549]   type = 4.00 (Ell4_A_0)   stellarity = 0.91   chisq2 = 1.25   ODDS = 1.00   z_cluster = 0.228