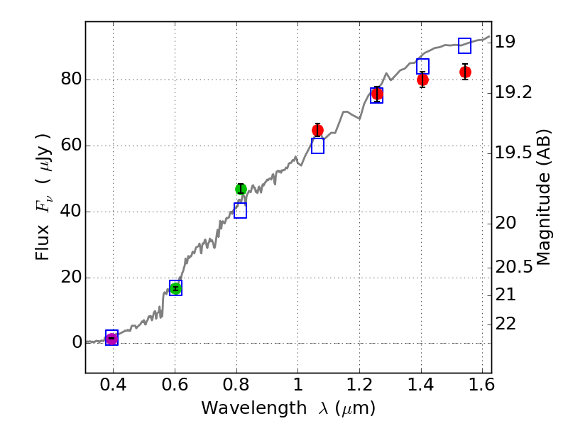
RXS0603+42-N IR detection object #169

Color images and BPZ results
Catalog: 169.cat
Black segments are analyzed here.   Roll mouse over color images to view segments.
Best viewed in a wide browser window (1200 pixels or more).   Download SED & P(z) plots to view larger versions.
In P(z) plots: Yellow lines mark the cluster redshift z = 0.228,  

Object #169   x,y = (2873, 2742)   RA, Dec = (06:03:12.144, 42:16:02.28) = (90.80060, 42.26730)   BPZ = 0.408 [0.339--0.434]   type = 4.00 (Ell4_A_0)   stellarity = 0.94   chisq2 = 0.92   ODDS = 0.96   z_cluster = 0.228