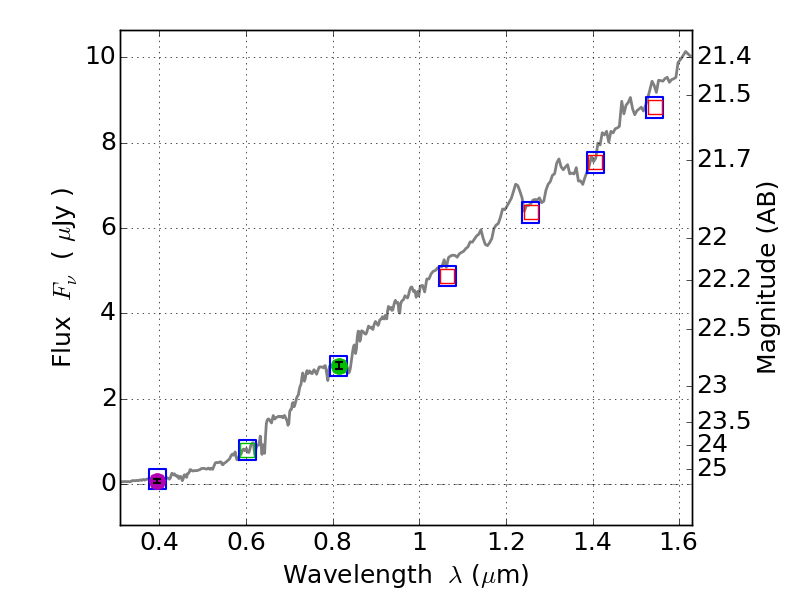
RXS0603+42-N IR detection object #12

Color images and BPZ results
Catalog: 12.cat
Black segments are analyzed here.   Roll mouse over color images to view segments.
Best viewed in a wide browser window (1200 pixels or more).   Download SED & P(z) plots to view larger versions.
In P(z) plots: Yellow lines mark the cluster redshift z = 0.228,  

Object #12   x,y = (3482, 3315)   RA, Dec = (06:03:08.832, 42:16:36.48) = (90.78680, 42.27680)   BPZ = 0.622 [0.350--1.549]   type = 5.30 (ES0_B10 - Sbc_B10)   stellarity = 0.00   chisq2 = 0.00   ODDS = 0.21   z_cluster = 0.228