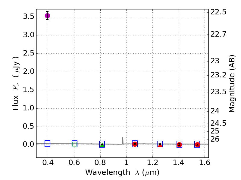
RXS0603+42-N IR detection object #992

Color images and BPZ results
Catalog: 992.cat
Black segments are analyzed here.   Roll mouse over color images to view segments.
Best viewed in a wide browser window (1200 pixels or more).   Download SED & P(z) plots to view larger versions.
In P(z) plots: Yellow lines mark the cluster redshift z = 0.228,  

Object #992   x,y = (3618, 3319)   RA, Dec = (06:03:08.112, 42:16:36.84) = (90.78380, 42.27690)   BPZ = 1.612 [0.414--3.757]   type = 11.00 (SB11_A_0_l)   stellarity = 0.90   chisq2 = 340.90   ODDS = 0.20   z_cluster = 0.228