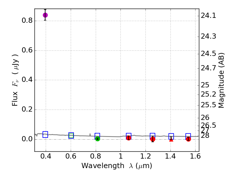
RXS0603+42-N IR detection object #991

Color images and BPZ results
Catalog: 991.cat
Black segments are analyzed here.   Roll mouse over color images to view segments.
Best viewed in a wide browser window (1200 pixels or more).   Download SED & P(z) plots to view larger versions.
In P(z) plots: Yellow lines mark the cluster redshift z = 0.228,  

Object #991   x,y = (3621, 3322)   RA, Dec = (06:03:08.088, 42:16:36.84) = (90.78370, 42.27690)   BPZ = 1.701 [1.135--2.297]   type = 11.00 (SB11_A_0_l)   stellarity = 0.98   chisq2 = 166.40   ODDS = 0.46   z_cluster = 0.228