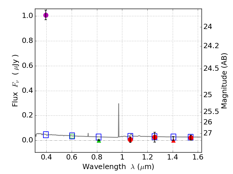
RXS0603+42-N IR detection object #982

Color images and BPZ results
Catalog: 982.cat
Black segments are analyzed here.   Roll mouse over color images to view segments.
Best viewed in a wide browser window (1200 pixels or more).   Download SED & P(z) plots to view larger versions.
In P(z) plots: Yellow lines mark the cluster redshift z = 0.228,  

Object #982   x,y = (3550, 3326)   RA, Dec = (06:03:08.472, 42:16:37.20) = (90.78530, 42.27700)   BPZ = 1.609 [1.359--2.101]   type = 11.00 (SB11_A_0_l)   stellarity = 0.99   chisq2 = 208.20   ODDS = 0.44   z_cluster = 0.228