RXS0603+42-N IR detection object #979

Color images and BPZ results
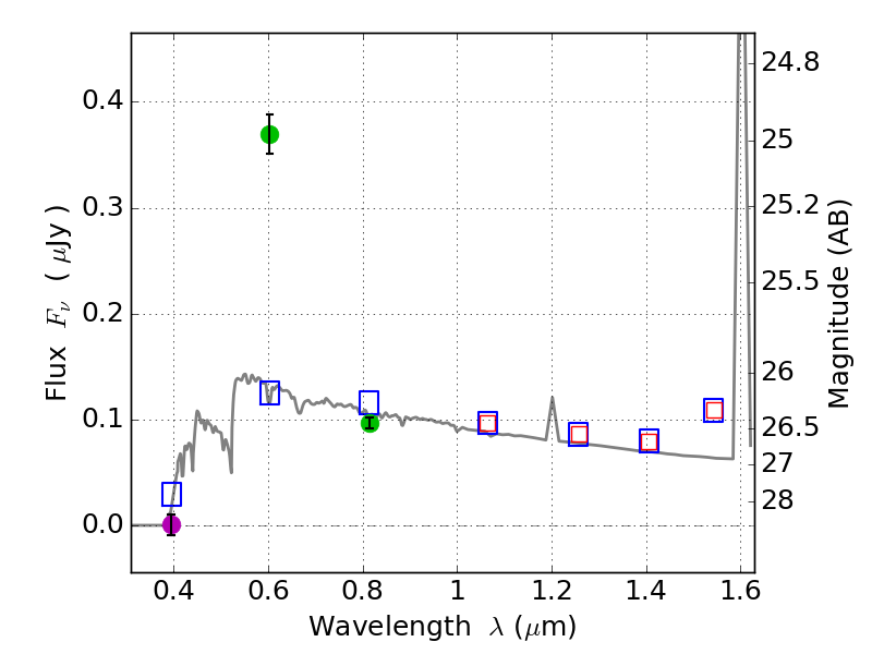
Catalog: 979.cat
Black segments are analyzed here.   Roll mouse over color images to view segments.
Best viewed in a wide browser window (1200 pixels or more).   Download SED & P(z) plots to view larger versions.
In P(z) plots: Yellow lines mark the cluster redshift z = 0.228,  

Object #979   x,y = (3361, 3330)   RA, Dec = (06:03:09.504, 42:16:37.56) = (90.78960, 42.27710)   BPZ = 3.299 [3.192--3.536]   type = 11.00 (SB11_A_0_l)   stellarity = 0.63   chisq2 = 151.10   ODDS = 0.91   z_cluster = 0.228