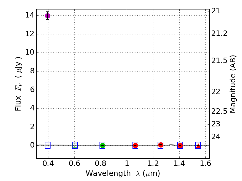
RXS0603+42-N IR detection object #971

Color images and BPZ results
Catalog: 971.cat
Black segments are analyzed here.   Roll mouse over color images to view segments.
Best viewed in a wide browser window (1200 pixels or more).   Download SED & P(z) plots to view larger versions.
In P(z) plots: Yellow lines mark the cluster redshift z = 0.228,  

Object #971   x,y = (3598, 3323)   RA, Dec = (06:03:08.208, 42:16:37.20) = (90.78420, 42.27700)   BPZ = 1.693 [0.261--5.833]   type = 11.00 (SB11_A_0_l)   stellarity = 0.96   chisq2 = 382.40   ODDS = 0.09   z_cluster = 0.228