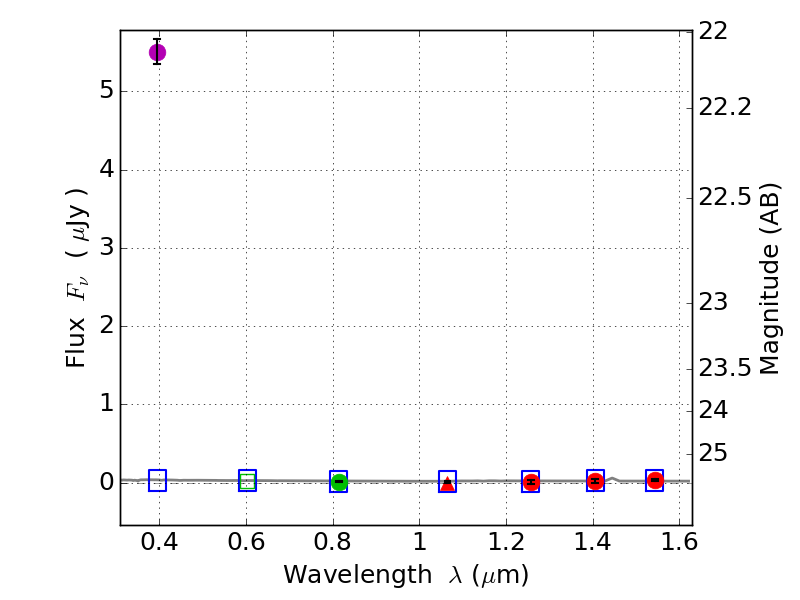
RXS0603+42-N IR detection object #970

Color images and BPZ results
Catalog: 970.cat
Black segments are analyzed here.   Roll mouse over color images to view segments.
Best viewed in a wide browser window (1200 pixels or more).   Download SED & P(z) plots to view larger versions.
In P(z) plots: Yellow lines mark the cluster redshift z = 0.228,  

Object #970   x,y = (3605, 3326)   RA, Dec = (06:03:08.184, 42:16:37.20) = (90.78410, 42.27700)   BPZ = 1.886 [0.531--3.647]   type = 11.00 (SB11_A_0_l)   stellarity = 1.00   chisq2 = 377.40   ODDS = 0.16   z_cluster = 0.228