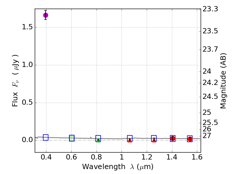
RXS0603+42-N IR detection object #967

Color images and BPZ results
Catalog: 967.cat
Black segments are analyzed here.   Roll mouse over color images to view segments.
Best viewed in a wide browser window (1200 pixels or more).   Download SED & P(z) plots to view larger versions.
In P(z) plots: Yellow lines mark the cluster redshift z = 0.228,  

Object #967   x,y = (3588, 3328)   RA, Dec = (06:03:08.256, 42:16:37.20) = (90.78440, 42.27700)   BPZ = 1.698 [1.095--2.333]   type = 11.00 (SB11_A_0_l)   stellarity = 1.00   chisq2 = 252.70   ODDS = 0.33   z_cluster = 0.228