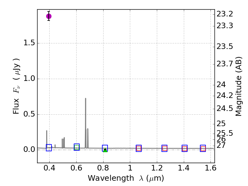
RXS0603+42-N IR detection object #954

Color images and BPZ results
Catalog: 954.cat
Black segments are analyzed here.   Roll mouse over color images to view segments.
Best viewed in a wide browser window (1200 pixels or more).   Download SED & P(z) plots to view larger versions.
In P(z) plots: Yellow lines mark the cluster redshift z = 0.228,  

Object #954   x,y = (3533, 3342)   RA, Dec = (06:03:08.568, 42:16:38.28) = (90.78570, 42.27730)   BPZ = 0.025 [0.011--0.742]   type = 11.00 (SB11_A_0_l)   stellarity = 0.85   chisq2 = 874.80   ODDS = 0.57   z_cluster = 0.228