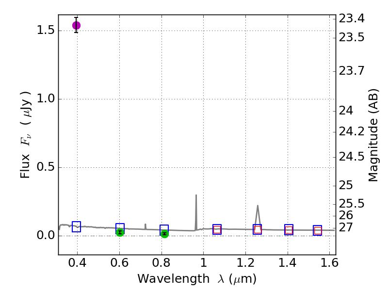
RXS0603+42-N IR detection object #951

Color images and BPZ results
Catalog: 951.cat
Black segments are analyzed here.   Roll mouse over color images to view segments.
Best viewed in a wide browser window (1200 pixels or more).   Download SED & P(z) plots to view larger versions.
In P(z) plots: Yellow lines mark the cluster redshift z = 0.228,  

Object #951   x,y = (2107, 3344)   RA, Dec = (06:03:16.272, 42:16:38.28) = (90.81780, 42.27730)   BPZ = 1.593 [1.277--2.031]   type = 11.00 (SB11_A_0_l)   stellarity = 0.67   chisq2 = 744.70   ODDS = 0.42   z_cluster = 0.228