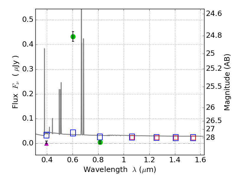
RXS0603+42-N IR detection object #920

Color images and BPZ results
Catalog: 920.cat
Black segments are analyzed here.   Roll mouse over color images to view segments.
Best viewed in a wide browser window (1200 pixels or more).   Download SED & P(z) plots to view larger versions.
In P(z) plots: Yellow lines mark the cluster redshift z = 0.228,  

Object #920   x,y = (3367, 3359)   RA, Dec = (06:03:09.456, 42:16:39.36) = (90.78940, 42.27760)   BPZ = 0.023 [0.011--3.257]   type = 11.00 (SB11_A_0_l)   stellarity = 0.72   chisq2 = 410.70   ODDS = 0.65   z_cluster = 0.228