RXS0603+42-N IR detection object #915

Color images and BPZ results
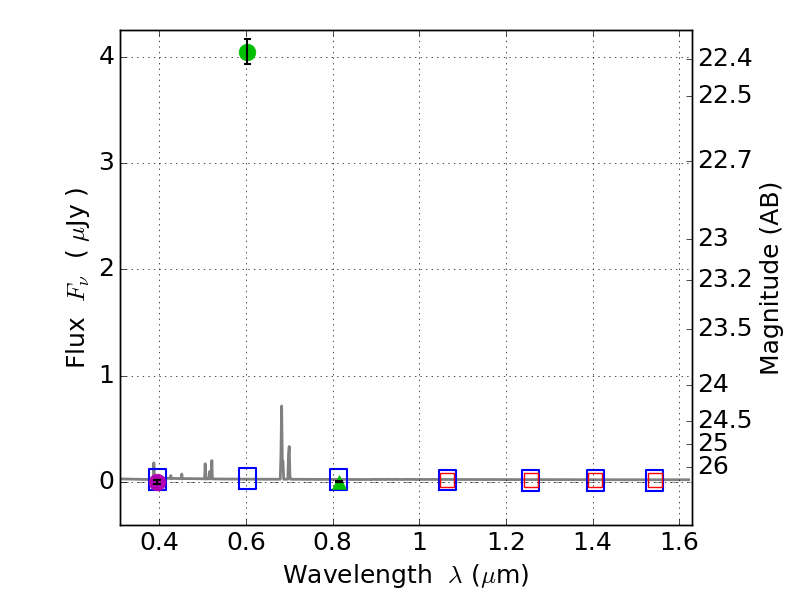
Catalog: 915.cat
Black segments are analyzed here.   Roll mouse over color images to view segments.
Best viewed in a wide browser window (1200 pixels or more).   Download SED & P(z) plots to view larger versions.
In P(z) plots: Yellow lines mark the cluster redshift z = 0.228,  

Object #915   x,y = (3320, 3356)   RA, Dec = (06:03:09.720, 42:16:39.00) = (90.79050, 42.27750)   BPZ = 0.038 [0.036--2.671]   type = 11.00 (SB11_A_0_l)   stellarity = 0.94   chisq2 = 1111.00   ODDS = 0.06   z_cluster = 0.228