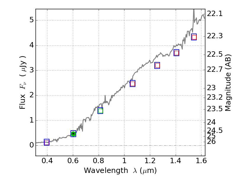
RXS0603+42-N IR detection object #9114

Color images and BPZ results
Catalog: 9114.cat
Black segments are analyzed here.   Roll mouse over color images to view segments.
Best viewed in a wide browser window (1200 pixels or more).   Download SED & P(z) plots to view larger versions.
In P(z) plots: Yellow lines mark the cluster redshift z = 0.228,  

Object #9114   x,y = (3282, 340)   RA, Dec = (06:03:09.936, 42:13:37.92) = (90.79140, 42.22720)   BPZ = 0.701 [0.173--4.033]   type = 6.00 (Sbc_B10)   stellarity = 1.00   chisq2 = 990.00   ODDS = 0.09   z_cluster = 0.228