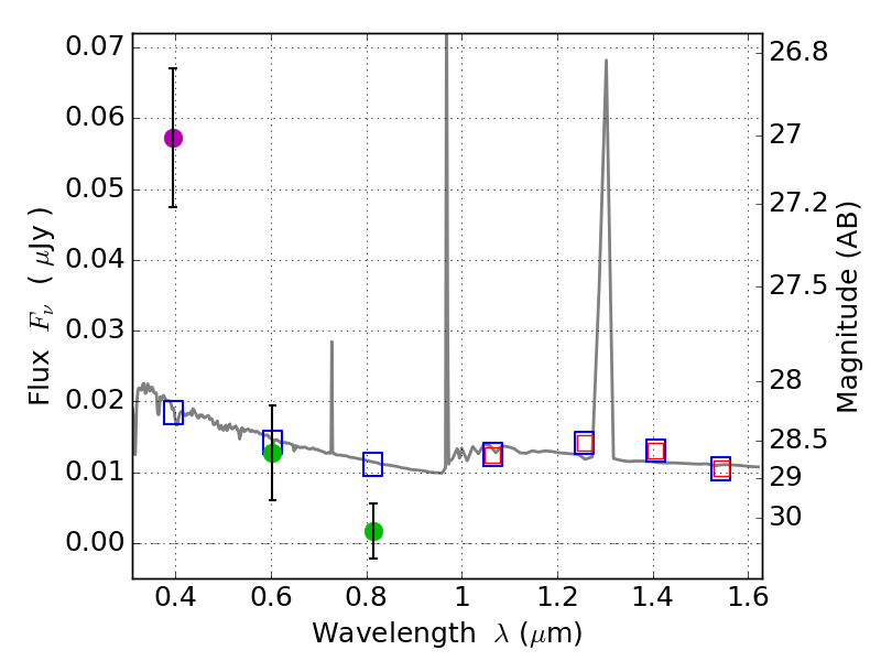
RXS0603+42-N IR detection object #904

Color images and BPZ results
Catalog: 904.cat
Black segments are analyzed here.   Roll mouse over color images to view segments.
Best viewed in a wide browser window (1200 pixels or more).   Download SED & P(z) plots to view larger versions.
In P(z) plots: Yellow lines mark the cluster redshift z = 0.228,  

Object #904   x,y = (2614, 3475)   RA, Dec = (06:03:13.536, 42:16:46.20) = (90.80640, 42.27950)   BPZ = 1.596 [0.795--2.611]   type = 11.00 (SB11_A_0_l)   stellarity = 0.37   chisq2 = 20.97   ODDS = 0.21   z_cluster = 0.228