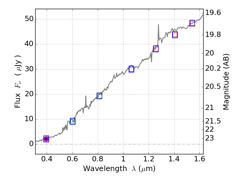
RXS0603+42-N IR detection object #9020

Color images and BPZ results
Catalog: 9020.cat
Black segments are analyzed here.   Roll mouse over color images to view segments.
Best viewed in a wide browser window (1200 pixels or more).   Download SED & P(z) plots to view larger versions.
In P(z) plots: Yellow lines mark the cluster redshift z = 0.228,  

Object #9020   x,y = (3725, 395)   RA, Dec = (06:03:07.536, 42:13:41.52) = (90.78140, 42.22820)   BPZ = 0.406 [0.051--0.865]   type = 6.10 (Sbc_B10 - Scd_B10)   stellarity = 1.00   chisq2 = 990.00   ODDS = 0.20   z_cluster = 0.228