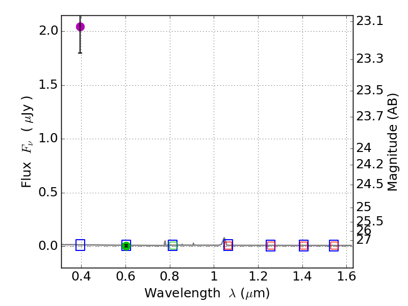
RXS0603+42-N IR detection object #8949

Color images and BPZ results
Catalog: 8949.cat
Black segments are analyzed here.   Roll mouse over color images to view segments.
Best viewed in a wide browser window (1200 pixels or more).   Download SED & P(z) plots to view larger versions.
In P(z) plots: Yellow lines mark the cluster redshift z = 0.228,  

Object #8949   x,y = (3369, 434)   RA, Dec = (06:03:09.456, 42:13:43.68) = (90.78940, 42.22880)   BPZ = 1.087 [0.296--7.672]   type = 11.00 (SB11_A_0_l)   stellarity = 0.80   chisq2 = 67.02   ODDS = 0.06   z_cluster = 0.228