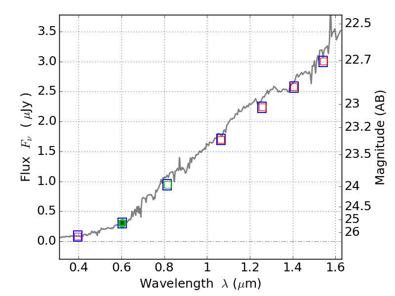
RXS0603+42-N IR detection object #8931

Color images and BPZ results
Catalog: 8931.cat
Black segments are analyzed here.   Roll mouse over color images to view segments.
Best viewed in a wide browser window (1200 pixels or more).   Download SED & P(z) plots to view larger versions.
In P(z) plots: Yellow lines mark the cluster redshift z = 0.228,  

Object #8931   x,y = (3089, 445)   RA, Dec = (06:03:10.968, 42:13:44.40) = (90.79570, 42.22900)   BPZ = 0.737 [0.185--4.460]   type = 6.00 (Sbc_B10)   stellarity = 0.66   chisq2 = 990.00   ODDS = 0.09   z_cluster = 0.228