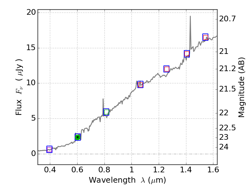
RXS0603+42-N IR detection object #8917

Color images and BPZ results
Catalog: 8917.cat
Black segments are analyzed here.   Roll mouse over color images to view segments.
Best viewed in a wide browser window (1200 pixels or more).   Download SED & P(z) plots to view larger versions.
In P(z) plots: Yellow lines mark the cluster redshift z = 0.228,  

Object #8917   x,y = (3079, 451)   RA, Dec = (06:03:11.016, 42:13:44.76) = (90.79590, 42.22910)   BPZ = 0.580 [0.131--2.584]   type = 6.20 (Sbc_B10 - Scd_B10)   stellarity = 0.95   chisq2 = 990.00   ODDS = 0.12   z_cluster = 0.228