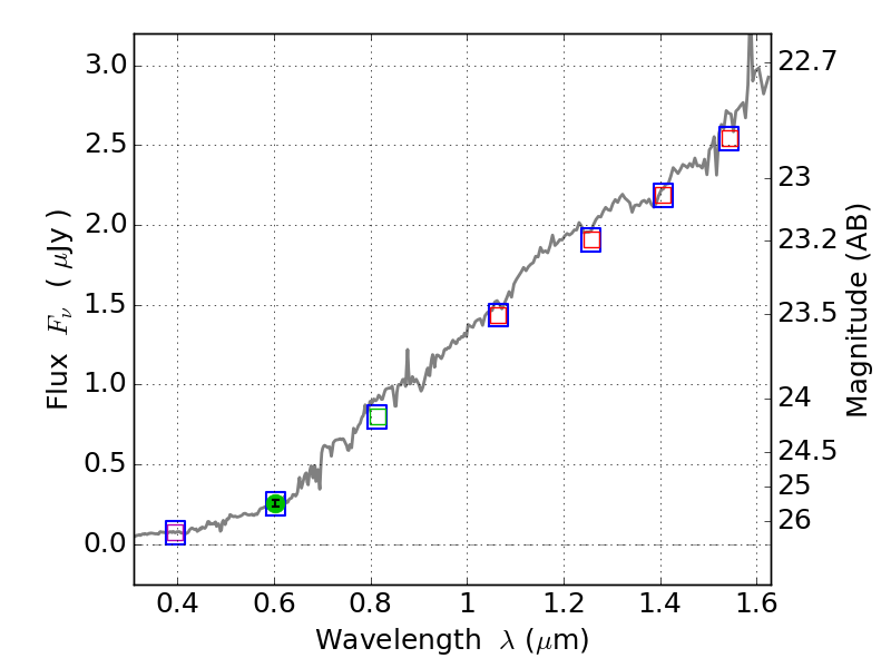
RXS0603+42-N IR detection object #8907

Color images and BPZ results
Catalog: 8907.cat
Black segments are analyzed here.   Roll mouse over color images to view segments.
Best viewed in a wide browser window (1200 pixels or more).   Download SED & P(z) plots to view larger versions.
In P(z) plots: Yellow lines mark the cluster redshift z = 0.228,  

Object #8907   x,y = (3219, 431)   RA, Dec = (06:03:10.272, 42:13:43.68) = (90.79280, 42.22880)   BPZ = 0.752 [0.190--4.631]   type = 6.00 (Sbc_B10)   stellarity = 0.00   chisq2 = 990.00   ODDS = 0.08   z_cluster = 0.228