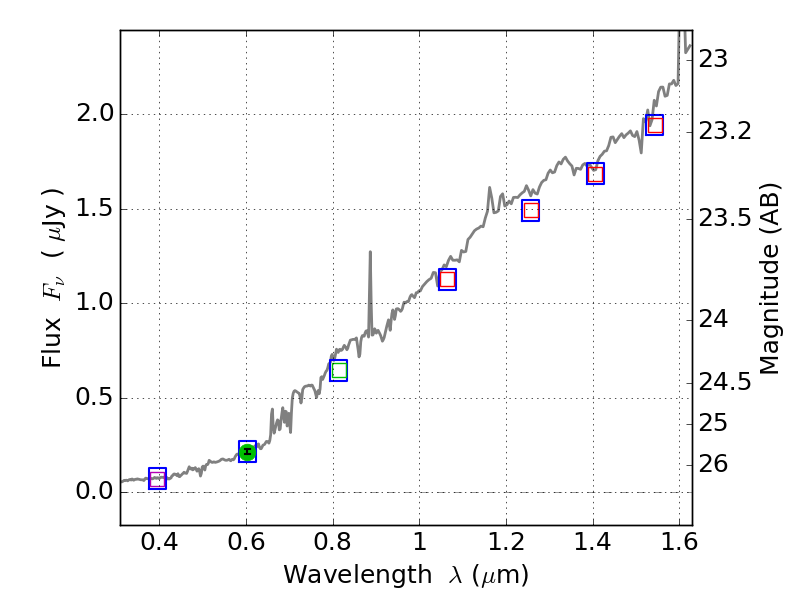
RXS0603+42-N IR detection object #8906

Color images and BPZ results
Catalog: 8906.cat
Black segments are analyzed here.   Roll mouse over color images to view segments.
Best viewed in a wide browser window (1200 pixels or more).   Download SED & P(z) plots to view larger versions.
In P(z) plots: Yellow lines mark the cluster redshift z = 0.228,  

Object #8906   x,y = (3144, 462)   RA, Dec = (06:03:10.680, 42:13:45.48) = (90.79450, 42.22930)   BPZ = 0.767 [0.195--4.801]   type = 6.20 (Sbc_B10 - Scd_B10)   stellarity = 0.80   chisq2 = 990.00   ODDS = 0.08   z_cluster = 0.228