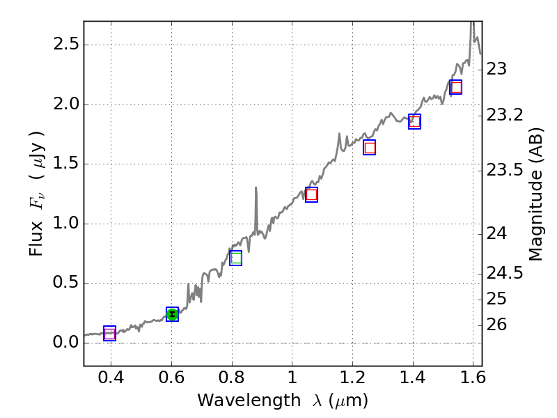
RXS0603+42-N IR detection object #8785

Color images and BPZ results
Catalog: 8785.cat
Black segments are analyzed here.   Roll mouse over color images to view segments.
Best viewed in a wide browser window (1200 pixels or more).   Download SED & P(z) plots to view larger versions.
In P(z) plots: Yellow lines mark the cluster redshift z = 0.228,  

Object #8785   x,y = (2975, 514)   RA, Dec = (06:03:11.592, 42:13:48.36) = (90.79830, 42.23010)   BPZ = 0.759 [0.193--4.716]   type = 6.20 (Sbc_B10 - Scd_B10)   stellarity = 0.98   chisq2 = 990.00   ODDS = 0.08   z_cluster = 0.228