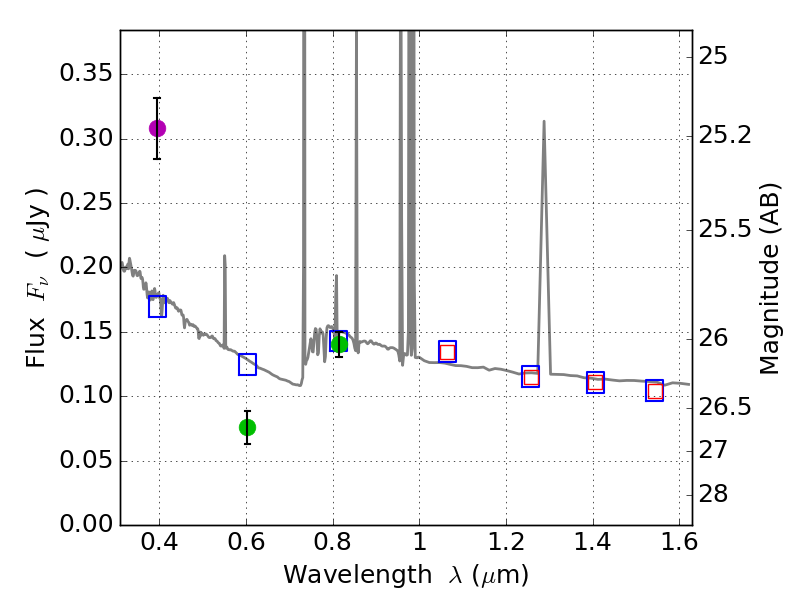
RXS0603+42-N IR detection object #878

Color images and BPZ results
Catalog: 878.cat
Black segments are analyzed here.   Roll mouse over color images to view segments.
Best viewed in a wide browser window (1200 pixels or more).   Download SED & P(z) plots to view larger versions.
In P(z) plots: Yellow lines mark the cluster redshift z = 0.228,  

Object #878   x,y = (2186, 3331)   RA, Dec = (06:03:15.840, 42:16:37.56) = (90.81600, 42.27710)   BPZ = 0.975 [0.850--1.240]   type = 11.00 (SB11_A_0_l)   stellarity = 0.69   chisq2 = 35.98   ODDS = 0.66   z_cluster = 0.228