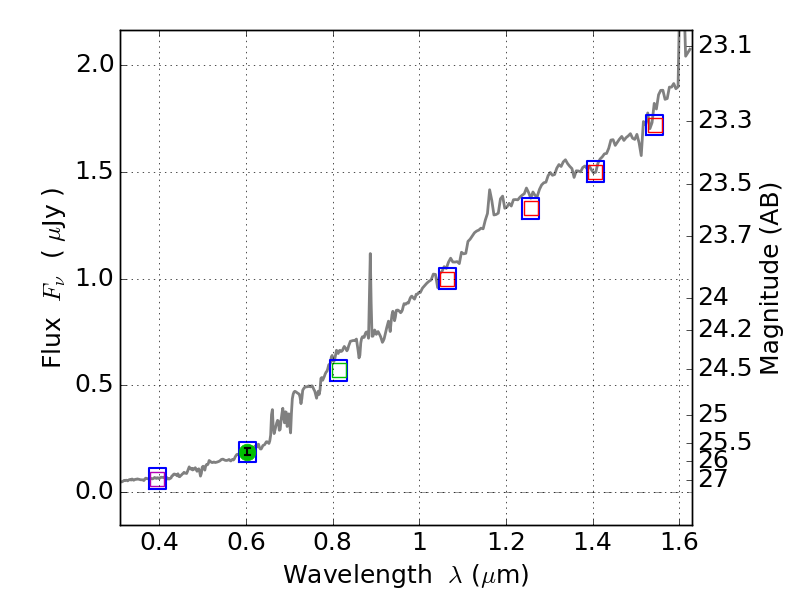
RXS0603+42-N IR detection object #8753

Color images and BPZ results
Catalog: 8753.cat
Black segments are analyzed here.   Roll mouse over color images to view segments.
Best viewed in a wide browser window (1200 pixels or more).   Download SED & P(z) plots to view larger versions.
In P(z) plots: Yellow lines mark the cluster redshift z = 0.228,  

Object #8753   x,y = (2969, 533)   RA, Dec = (06:03:11.616, 42:13:49.80) = (90.79840, 42.23050)   BPZ = 0.774 [0.198--4.886]   type = 6.20 (Sbc_B10 - Scd_B10)   stellarity = 0.22   chisq2 = 990.00   ODDS = 0.08   z_cluster = 0.228