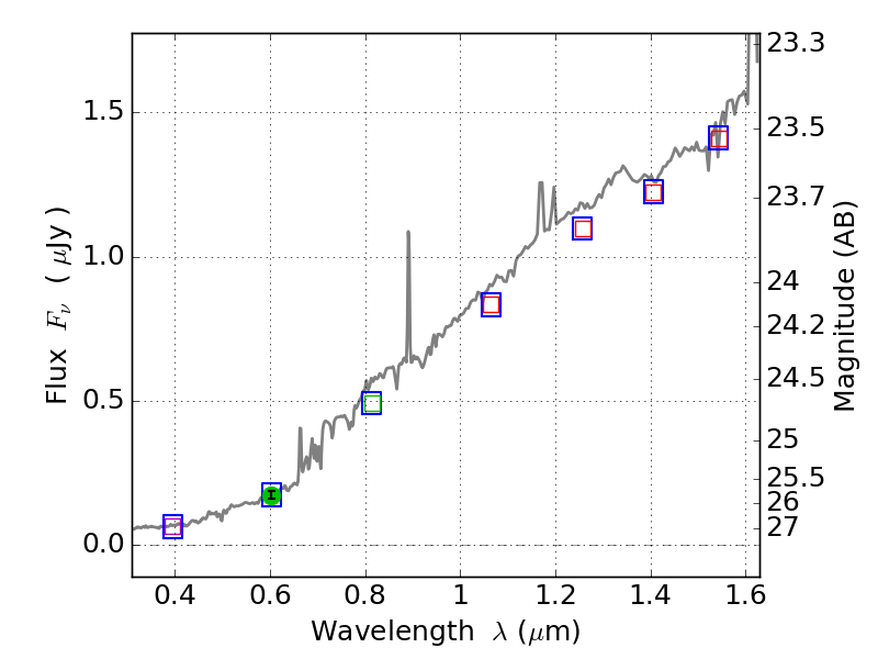
RXS0603+42-N IR detection object #8658

Color images and BPZ results
Catalog: 8658.cat
Black segments are analyzed here.   Roll mouse over color images to view segments.
Best viewed in a wide browser window (1200 pixels or more).   Download SED & P(z) plots to view larger versions.
In P(z) plots: Yellow lines mark the cluster redshift z = 0.228,  

Object #8658   x,y = (2721, 585)   RA, Dec = (06:03:12.960, 42:13:52.68) = (90.80400, 42.23130)   BPZ = 0.781 [0.201--4.970]   type = 6.40 (Sbc_B10 - Scd_B10)   stellarity = 0.99   chisq2 = 990.00   ODDS = 0.08   z_cluster = 0.228