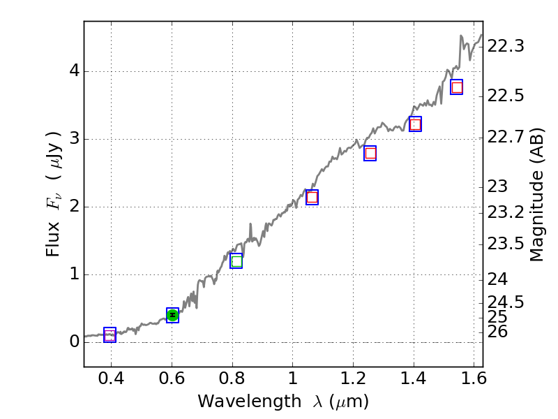
RXS0603+42-N IR detection object #8639

Color images and BPZ results
Catalog: 8639.cat
Black segments are analyzed here.   Roll mouse over color images to view segments.
Best viewed in a wide browser window (1200 pixels or more).   Download SED & P(z) plots to view larger versions.
In P(z) plots: Yellow lines mark the cluster redshift z = 0.228,  

Object #8639   x,y = (2863, 535)   RA, Dec = (06:03:12.192, 42:13:49.80) = (90.80080, 42.23050)   BPZ = 0.716 [0.178--4.204]   type = 6.00 (Sbc_B10)   stellarity = 0.95   chisq2 = 990.00   ODDS = 0.09   z_cluster = 0.228