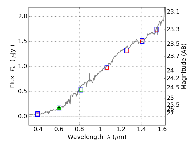
RXS0603+42-N IR detection object #8568

Color images and BPZ results
Catalog: 8568.cat
Black segments are analyzed here.   Roll mouse over color images to view segments.
Best viewed in a wide browser window (1200 pixels or more).   Download SED & P(z) plots to view larger versions.
In P(z) plots: Yellow lines mark the cluster redshift z = 0.228,  

Object #8568   x,y = (2833, 617)   RA, Dec = (06:03:12.360, 42:13:54.84) = (90.80150, 42.23190)   BPZ = 0.789 [0.203--5.055]   type = 6.00 (Sbc_B10)   stellarity = 0.74   chisq2 = 990.00   ODDS = 0.08   z_cluster = 0.228