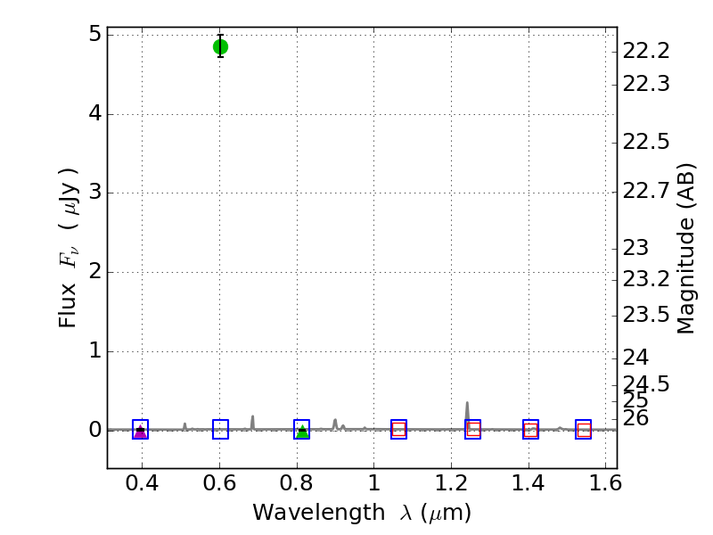
RXS0603+42-N IR detection object #856

Color images and BPZ results
Catalog: 856.cat
Black segments are analyzed here.   Roll mouse over color images to view segments.
Best viewed in a wide browser window (1200 pixels or more).   Download SED & P(z) plots to view larger versions.
In P(z) plots: Yellow lines mark the cluster redshift z = 0.228,  

Object #856   x,y = (3050, 3469)   RA, Dec = (06:03:11.184, 42:16:45.84) = (90.79660, 42.27940)   BPZ = 0.374 [0.060--2.329]   type = 10.00 (SB3_B10)   stellarity = 0.95   chisq2 = 1146.00   ODDS = 0.13   z_cluster = 0.228