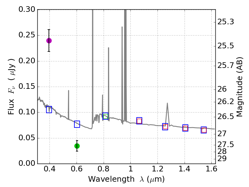
RXS0603+42-N IR detection object #8548

Color images and BPZ results
Catalog: 8548.cat
Black segments are analyzed here.   Roll mouse over color images to view segments.
Best viewed in a wide browser window (1200 pixels or more).   Download SED & P(z) plots to view larger versions.
In P(z) plots: Yellow lines mark the cluster redshift z = 0.228,  

Object #8548   x,y = (3000, 625)   RA, Dec = (06:03:11.448, 42:13:55.20) = (90.79770, 42.23200)   BPZ = 0.930 [0.838--1.919]   type = 11.00 (SB11_A_0_l)   stellarity = 0.53   chisq2 = 47.38   ODDS = 0.30   z_cluster = 0.228