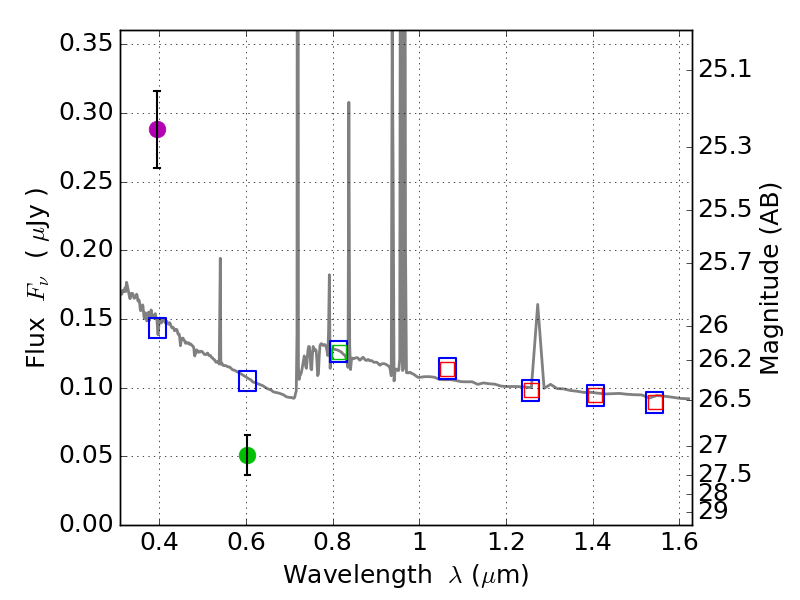
RXS0603+42-N IR detection object #8515

Color images and BPZ results
Catalog: 8515.cat
Black segments are analyzed here.   Roll mouse over color images to view segments.
Best viewed in a wide browser window (1200 pixels or more).   Download SED & P(z) plots to view larger versions.
In P(z) plots: Yellow lines mark the cluster redshift z = 0.228,  

Object #8515   x,y = (2966, 639)   RA, Dec = (06:03:11.640, 42:13:55.92) = (90.79850, 42.23220)   BPZ = 0.930 [0.820--1.955]   type = 11.00 (SB11_A_0_l)   stellarity = 0.55   chisq2 = 33.57   ODDS = 0.27   z_cluster = 0.228