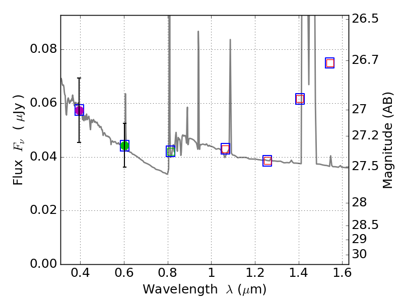
RXS0603+42-N IR detection object #8507

Color images and BPZ results
Catalog: 8507.cat
Black segments are analyzed here.   Roll mouse over color images to view segments.
Best viewed in a wide browser window (1200 pixels or more).   Download SED & P(z) plots to view larger versions.
In P(z) plots: Yellow lines mark the cluster redshift z = 0.228,  

Object #8507   x,y = (3417, 640)   RA, Dec = (06:03:09.192, 42:13:55.92) = (90.78830, 42.23220)   BPZ = 1.173 [0.423--2.501]   type = 10.90 (SB11_A_0_l - SB3_B10)   stellarity = 0.36   chisq2 = 0.00   ODDS = 0.11   z_cluster = 0.228