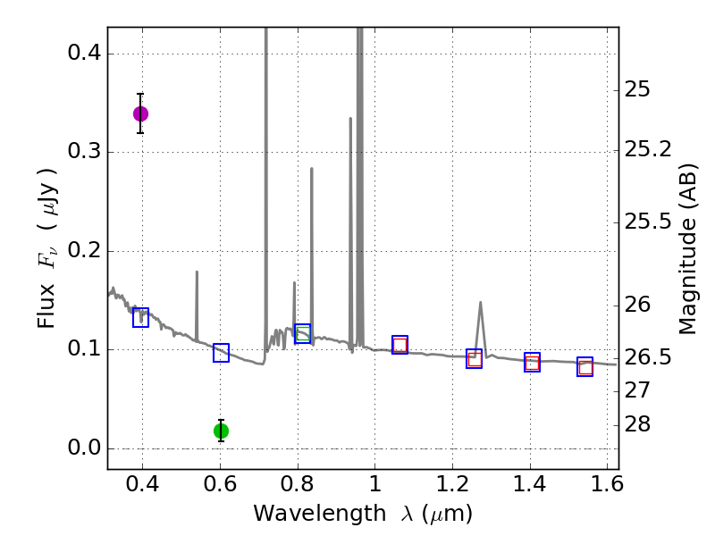
RXS0603+42-N IR detection object #8501

Color images and BPZ results
Catalog: 8501.cat
Black segments are analyzed here.   Roll mouse over color images to view segments.
Best viewed in a wide browser window (1200 pixels or more).   Download SED & P(z) plots to view larger versions.
In P(z) plots: Yellow lines mark the cluster redshift z = 0.228,  

Object #8501   x,y = (3482, 641)   RA, Dec = (06:03:08.832, 42:13:56.28) = (90.78680, 42.23230)   BPZ = 0.930 [0.901--1.635]   type = 11.00 (SB11_A_0_l)   stellarity = 0.70   chisq2 = 123.90   ODDS = 0.58   z_cluster = 0.228