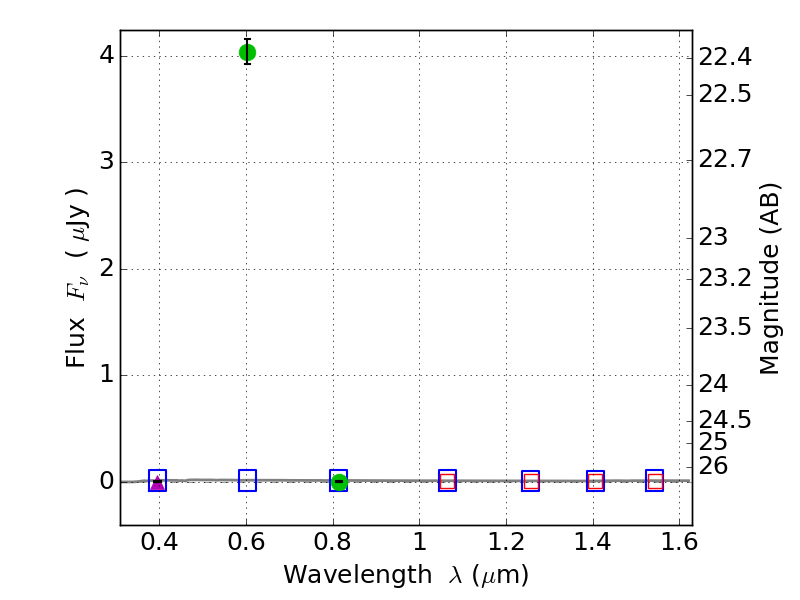
RXS0603+42-N IR detection object #848

Color images and BPZ results
Catalog: 848.cat
Black segments are analyzed here.   Roll mouse over color images to view segments.
Best viewed in a wide browser window (1200 pixels or more).   Download SED & P(z) plots to view larger versions.
In P(z) plots: Yellow lines mark the cluster redshift z = 0.228,  

Object #848   x,y = (3207, 3397)   RA, Dec = (06:03:10.320, 42:16:41.52) = (90.79300, 42.27820)   BPZ = 2.803 [0.294--5.792]   type = 11.00 (SB11_A_0_l)   stellarity = 0.68   chisq2 = 1144.00   ODDS = 0.10   z_cluster = 0.228