RXS0603+42-N IR detection object #8469

Color images and BPZ results
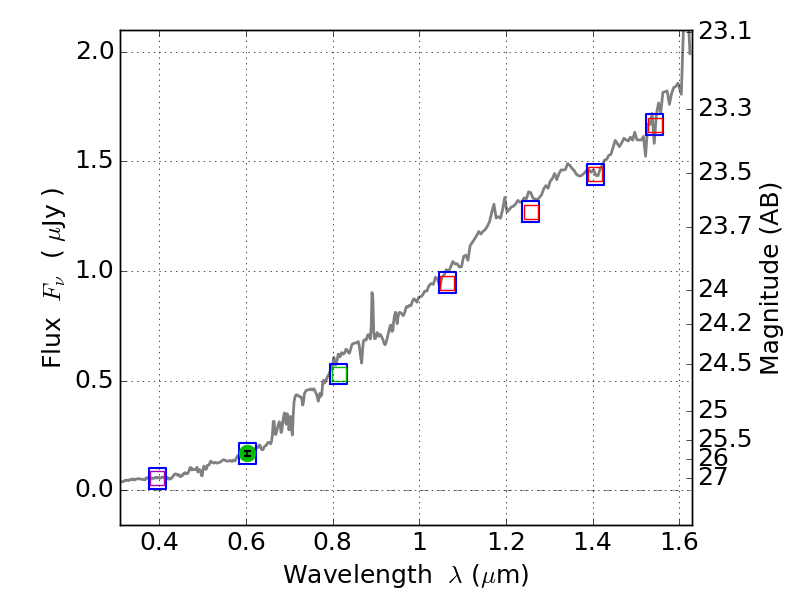
Catalog: 8469.cat
Black segments are analyzed here.   Roll mouse over color images to view segments.
Best viewed in a wide browser window (1200 pixels or more).   Download SED & P(z) plots to view larger versions.
In P(z) plots: Yellow lines mark the cluster redshift z = 0.228,  

Object #8469   x,y = (2759, 656)   RA, Dec = (06:03:12.744, 42:13:57.00) = (90.80310, 42.23250)   BPZ = 0.781 [0.201--4.970]   type = 6.10 (Sbc_B10 - Scd_B10)   stellarity = 0.64   chisq2 = 990.00   ODDS = 0.08   z_cluster = 0.228