RXS0603+42-N IR detection object #8456

Color images and BPZ results
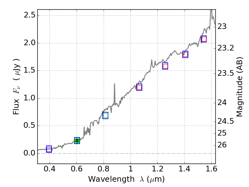
Catalog: 8456.cat
Black segments are analyzed here.   Roll mouse over color images to view segments.
Best viewed in a wide browser window (1200 pixels or more).   Download SED & P(z) plots to view larger versions.
In P(z) plots: Yellow lines mark the cluster redshift z = 0.228,  

Object #8456   x,y = (2617, 661)   RA, Dec = (06:03:13.512, 42:13:57.36) = (90.80630, 42.23260)   BPZ = 0.759 [0.193--4.716]   type = 6.20 (Sbc_B10 - Scd_B10)   stellarity = 0.98   chisq2 = 990.00   ODDS = 0.08   z_cluster = 0.228