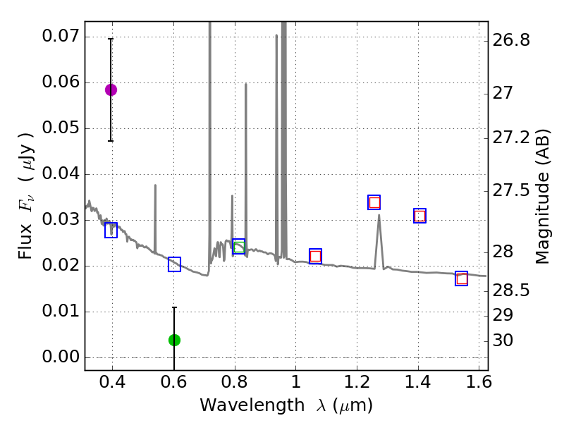
RXS0603+42-N IR detection object #8340

Color images and BPZ results
Catalog: 8340.cat
Black segments are analyzed here.   Roll mouse over color images to view segments.
Best viewed in a wide browser window (1200 pixels or more).   Download SED & P(z) plots to view larger versions.
In P(z) plots: Yellow lines mark the cluster redshift z = 0.228,  

Object #8340   x,y = (2993, 707)   RA, Dec = (06:03:11.496, 42:14:00.24) = (90.79790, 42.23340)   BPZ = 0.934 [0.554--2.493]   type = 11.00 (SB11_A_0_l)   stellarity = 0.43   chisq2 = 12.10   ODDS = 0.11   z_cluster = 0.228