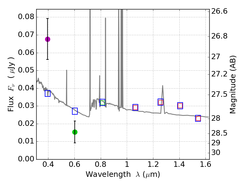
RXS0603+42-N IR detection object #8338

Color images and BPZ results
Catalog: 8338.cat
Black segments are analyzed here.   Roll mouse over color images to view segments.
Best viewed in a wide browser window (1200 pixels or more).   Download SED & P(z) plots to view larger versions.
In P(z) plots: Yellow lines mark the cluster redshift z = 0.228,  

Object #8338   x,y = (2825, 710)   RA, Dec = (06:03:12.384, 42:14:00.24) = (90.80160, 42.23340)   BPZ = 0.932 [0.623--2.309]   type = 11.00 (SB11_A_0_l)   stellarity = 0.41   chisq2 = 9.95   ODDS = 0.13   z_cluster = 0.228