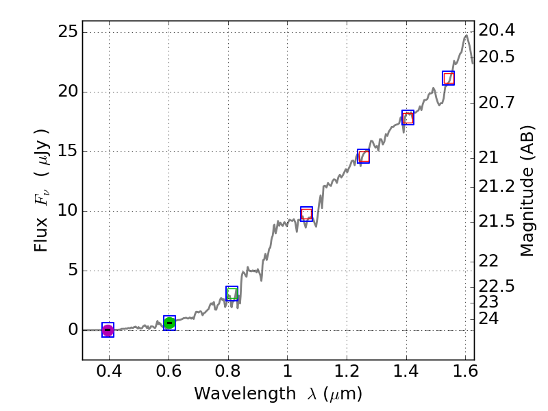
RXS0603+42-N IR detection object #8292

Color images and BPZ results
Catalog: 8292.cat
Black segments are analyzed here.   Roll mouse over color images to view segments.
Best viewed in a wide browser window (1200 pixels or more).   Download SED & P(z) plots to view larger versions.
In P(z) plots: Yellow lines mark the cluster redshift z = 0.228,  

Object #8292   x,y = (3683, 725)   RA, Dec = (06:03:07.752, 42:14:01.32) = (90.78230, 42.23370)   BPZ = 1.118 [0.517--5.406]   type = 5.00 (ES0_B10)   stellarity = 0.69   chisq2 = 0.00   ODDS = 0.15   z_cluster = 0.228