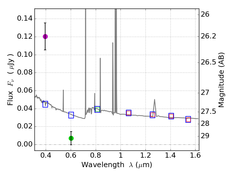
RXS0603+42-N IR detection object #8250

Color images and BPZ results
Catalog: 8250.cat
Black segments are analyzed here.   Roll mouse over color images to view segments.
Best viewed in a wide browser window (1200 pixels or more).   Download SED & P(z) plots to view larger versions.
In P(z) plots: Yellow lines mark the cluster redshift z = 0.228,  

Object #8250   x,y = (2887, 742)   RA, Dec = (06:03:12.072, 42:14:02.40) = (90.80030, 42.23400)   BPZ = 0.931 [0.732--2.187]   type = 11.00 (SB11_A_0_l)   stellarity = 0.44   chisq2 = 35.07   ODDS = 0.16   z_cluster = 0.228