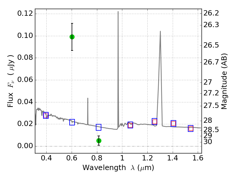
RXS0603+42-N IR detection object #8244

Color images and BPZ results
Catalog: 8244.cat
Black segments are analyzed here.   Roll mouse over color images to view segments.
Best viewed in a wide browser window (1200 pixels or more).   Download SED & P(z) plots to view larger versions.
In P(z) plots: Yellow lines mark the cluster redshift z = 0.228,  

Object #8244   x,y = (2319, 746)   RA, Dec = (06:03:15.120, 42:14:02.40) = (90.81300, 42.23400)   BPZ = 1.597 [0.279--3.445]   type = 11.00 (SB11_A_0_l)   stellarity = 0.89   chisq2 = 45.67   ODDS = 0.13   z_cluster = 0.228