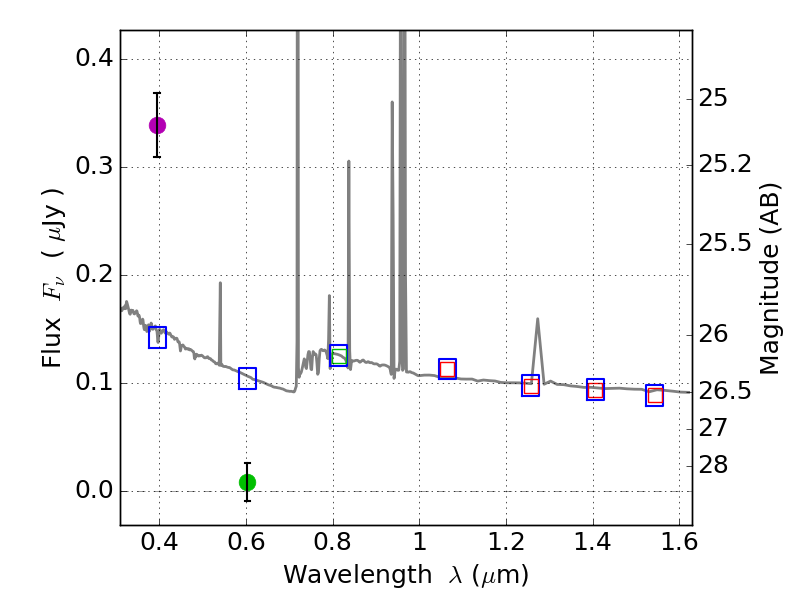
RXS0603+42-N IR detection object #8207

Color images and BPZ results
Catalog: 8207.cat
Black segments are analyzed here.   Roll mouse over color images to view segments.
Best viewed in a wide browser window (1200 pixels or more).   Download SED & P(z) plots to view larger versions.
In P(z) plots: Yellow lines mark the cluster redshift z = 0.228,  

Object #8207   x,y = (3039, 752)   RA, Dec = (06:03:11.232, 42:14:02.76) = (90.79680, 42.23410)   BPZ = 0.930 [0.844--1.927]   type = 11.00 (SB11_A_0_l)   stellarity = 0.36   chisq2 = 62.37   ODDS = 0.29   z_cluster = 0.228