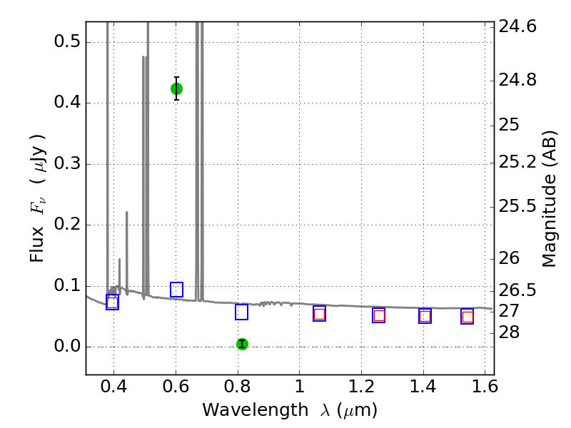
RXS0603+42-N IR detection object #8135

Color images and BPZ results
Catalog: 8135.cat
Black segments are analyzed here.   Roll mouse over color images to view segments.
Best viewed in a wide browser window (1200 pixels or more).   Download SED & P(z) plots to view larger versions.
In P(z) plots: Yellow lines mark the cluster redshift z = 0.228,  

Object #8135   x,y = (2345, 786)   RA, Dec = (06:03:14.976, 42:14:04.92) = (90.81240, 42.23470)   BPZ = 0.018 [0.010--0.039]   type = 11.00 (SB11_A_0_l)   stellarity = 0.68   chisq2 = 313.00   ODDS = 1.00   z_cluster = 0.228