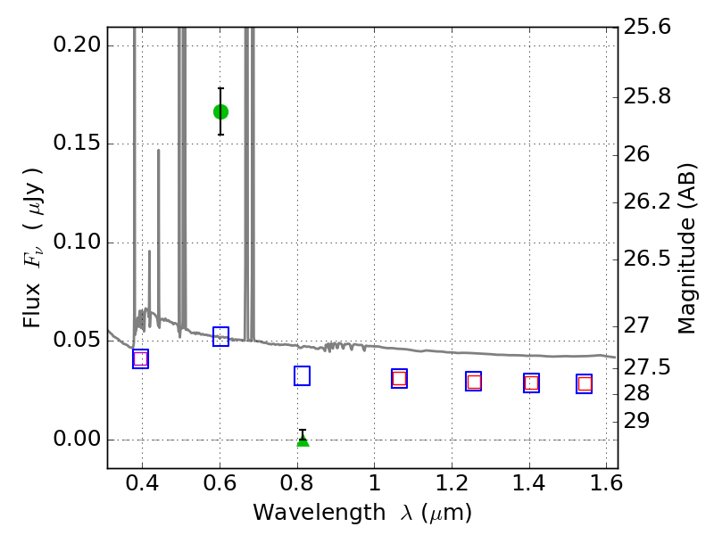
RXS0603+42-N IR detection object #8123

Color images and BPZ results
Catalog: 8123.cat
Black segments are analyzed here.   Roll mouse over color images to view segments.
Best viewed in a wide browser window (1200 pixels or more).   Download SED & P(z) plots to view larger versions.
In P(z) plots: Yellow lines mark the cluster redshift z = 0.228,  

Object #8123   x,y = (2384, 789)   RA, Dec = (06:03:14.784, 42:14:04.92) = (90.81160, 42.23470)   BPZ = 0.021 [0.010--1.652]   type = 11.00 (SB11_A_0_l)   stellarity = 0.81   chisq2 = 114.30   ODDS = 0.97   z_cluster = 0.228