RXS0603+42-N IR detection object #8119

Color images and BPZ results
Catalog: 8119.cat
Black segments are analyzed here.   Roll mouse over color images to view segments.
Best viewed in a wide browser window (1200 pixels or more).   Download SED & P(z) plots to view larger versions.
In P(z) plots: Yellow lines mark the cluster redshift z = 0.228,  

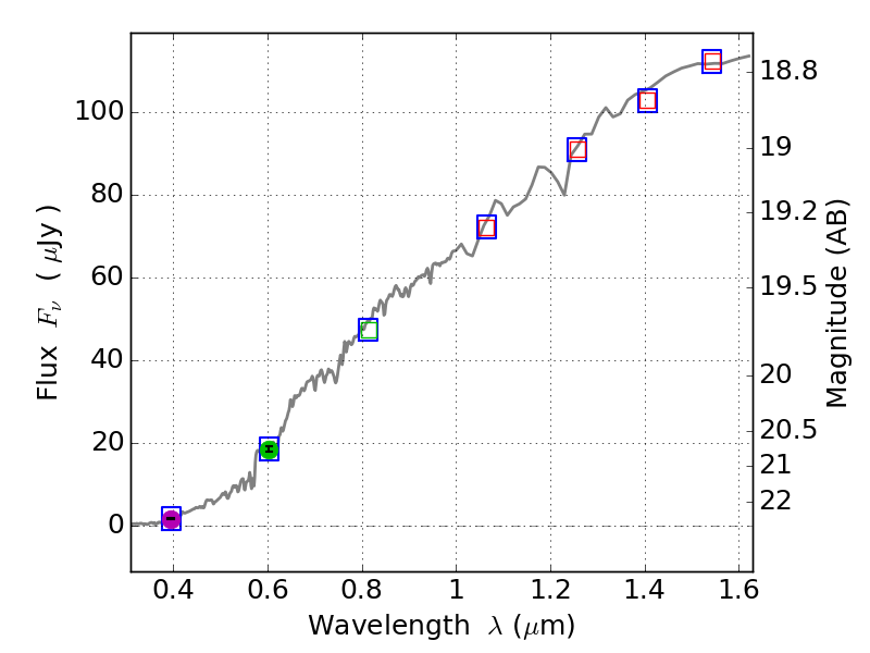
Object #8119   x,y = (3439, 785)   RA, Dec = (06:03:09.072, 42:14:04.92) = (90.78780, 42.23470)   BPZ = 0.437 [0.348--0.856]   type = 3.60 (Ell4_A_0 - Ell5_A_0)   stellarity = 0.92   chisq2 = 0.00   ODDS = 0.52   z_cluster = 0.228