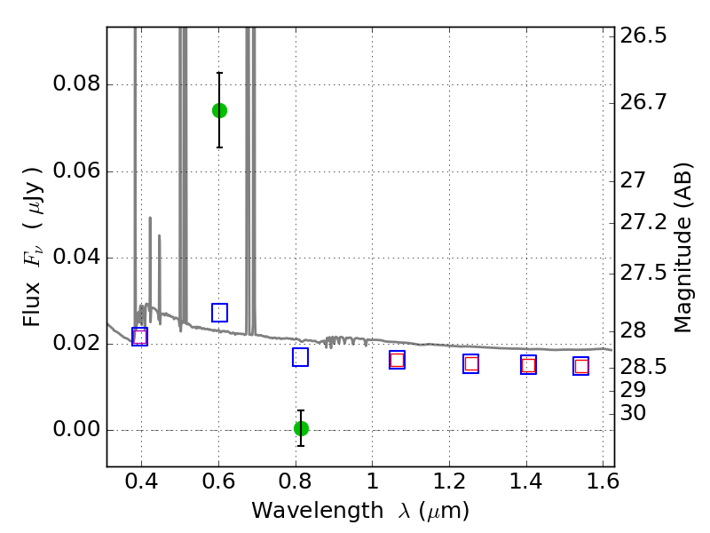
RXS0603+42-N IR detection object #8118

Color images and BPZ results
Catalog: 8118.cat
Black segments are analyzed here.   Roll mouse over color images to view segments.
Best viewed in a wide browser window (1200 pixels or more).   Download SED & P(z) plots to view larger versions.
In P(z) plots: Yellow lines mark the cluster redshift z = 0.228,  

Object #8118   x,y = (2366, 791)   RA, Dec = (06:03:14.880, 42:14:05.28) = (90.81200, 42.23480)   BPZ = 0.027 [0.039--3.325]   type = 11.00 (SB11_A_0_l)   stellarity = 0.83   chisq2 = 42.35   ODDS = 0.03   z_cluster = 0.228