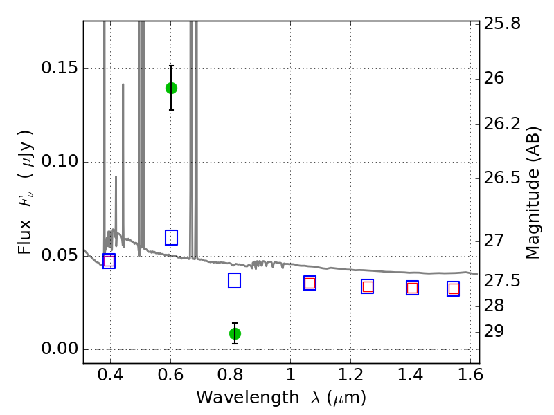
RXS0603+42-N IR detection object #8047

Color images and BPZ results
Catalog: 8047.cat
Black segments are analyzed here.   Roll mouse over color images to view segments.
Best viewed in a wide browser window (1200 pixels or more).   Download SED & P(z) plots to view larger versions.
In P(z) plots: Yellow lines mark the cluster redshift z = 0.228,  

Object #8047   x,y = (2340, 813)   RA, Dec = (06:03:15.000, 42:14:06.36) = (90.81250, 42.23510)   BPZ = 0.022 [0.010--2.639]   type = 11.00 (SB11_A_0_l)   stellarity = 0.72   chisq2 = 59.35   ODDS = 0.80   z_cluster = 0.228