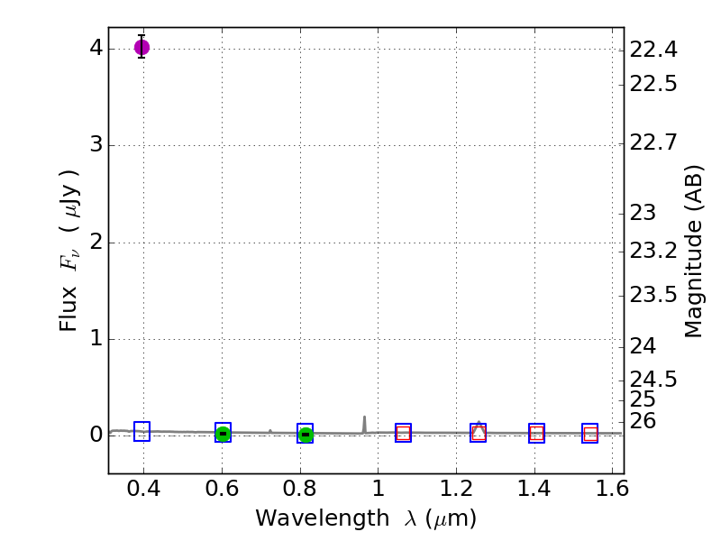
RXS0603+42-N IR detection object #8019

Color images and BPZ results
Catalog: 8019.cat
Black segments are analyzed here.   Roll mouse over color images to view segments.
Best viewed in a wide browser window (1200 pixels or more).   Download SED & P(z) plots to view larger versions.
In P(z) plots: Yellow lines mark the cluster redshift z = 0.228,  

Object #8019   x,y = (2499, 826)   RA, Dec = (06:03:14.160, 42:14:07.44) = (90.80900, 42.23540)   BPZ = 1.594 [0.918--2.367]   type = 11.00 (SB11_A_0_l)   stellarity = 0.87   chisq2 = 1107.00   ODDS = 0.25   z_cluster = 0.228