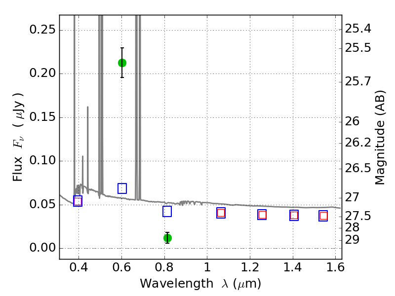
RXS0603+42-N IR detection object #8013

Color images and BPZ results
Catalog: 8013.cat
Black segments are analyzed here.   Roll mouse over color images to view segments.
Best viewed in a wide browser window (1200 pixels or more).   Download SED & P(z) plots to view larger versions.
In P(z) plots: Yellow lines mark the cluster redshift z = 0.228,  

Object #8013   x,y = (2204, 828)   RA, Dec = (06:03:15.744, 42:14:07.44) = (90.81560, 42.23540)   BPZ = 0.022 [0.010--2.766]   type = 11.00 (SB11_A_0_l)   stellarity = 0.72   chisq2 = 83.75   ODDS = 0.71   z_cluster = 0.228